Tensile Strength Of Bioplastic - Strength of 25.7592 kg/cm2 as compared to bioplastics reinforced with cotton, hair and jute fibers.

Tensile Strength Of Bioplastic - Strength of 25.7592 kg/cm2 as compared to bioplastics reinforced with cotton, hair and jute fibers.. Mechanical properties of bioplastic were determined by tensile strength and elongation at break analysis where it is given that the best condition of bioplastics obtained is from 7:3 ratio with 0.2 (v/w) glycerol added which is 2.74 mpa for tensile strength and 3.16% for elongation at break. The addition of additives does not typically increase. The used method was astm d638. A variety of bioplastics from lignosulfonates and soy protein isolate with a weight ratio of 4:6 to 10:0 were fabricated through compression molding. Therefore, bioplastics are sustainable, largely biodegradable, and biocompatible.

Composting bioplastics a number of bioplastics, including those made with pla, are compostable: Their promotion has, however, never been closer to real practice than with the collaborative project kompetenznetzwerk zur verarbeitung von biokunststoffen (competence network for the processing of bioplastics). The tensile strength was very close to that of commercial plastic bags. Strength of 25.7592 kg/cm2 as compared to bioplastics reinforced with cotton, hair and jute fibers. The used method was astm d638.

Polymers Free Full Text Natural Polymeric Materials A Solution To Plastic Pollution From The Agro Food Sector Html
Polymers Free Full Text Natural Polymeric Materials A Solution To Plastic Pollution From The Agro Food Sector Html from www.mdpi.com
The used method was astm d638. The material keeps deforming, and eventually the forces between the molecules become unable to counter the external forces and the material breaks. Due to its cost and evolving hindrances, awareness turned to action giving birth to the idea of bioplastics. This decrease in tensile strength was attributed to the weakening of the interface between the bioplastic matrix and the wood fibers (singh, 2007). The tensile strength gives important information on mechanical properties of biodegradable polymers. Tensile strength and elongation are two major mechanical properties for a plastic to have market potential. Determined the tensile strength of the bioplastic, the force that enters the test computer before the force. Today, bioplastics have become a necessity in many industrial applications such as.

The elongation property should be improved in order to be utilized for plastic bags.

A variety of bioplastics from lignosulfonates and soy protein isolate with a weight ratio of 4:6 to 10:0 were fabricated through compression molding. It showed that the addition of zeolites to the bioplastic composites up to 0.5% increased their tensile strength. The tensile strength of bioplastics reinforced with wool fiber showed the maximum average tensile. Ultimate tensile strength (or just tensile strength for short) is an important property of materials to determine their mechanical performance. Biodegradation of bioplastic can be characterized with the loss of weight, change in tensile strength, change in dimensions, change in chemical and physical properties, carbon dioxide production, bacterial activity in soil and change in molecular weight distribution (singh & sharma, 2008). Ultimate tensile strength (uts) test demonstration. To determine the tensile strength of plastic bag handle, grip a plastic bag handle with dedicated grips, and pull it to break with a. In addition, some bioplastics possess very high biodegradability also making them more environmentally sustainable materials. Give them enough heat, moisture, and hungry plasticizers enhance the flow characteristics of polymers by decreasing their glass transition temperature. Within equations, is the maximum stress that a material can withstand while being stretched or pulled before. Table 3 was a recapitulation of parameter. Bioplastic degradation tests were performed by burying all three bioplastic samples for 30 days. Tensile strength of the bioplastic film with variation.

This may be due to proper mixing and uniform distribution of natural fibers within the bioplastic. 99 investigated copolymers of phbv which only suffers an 8% loss in tensile strength after five extrusion cycles. Tensile strength also generally decreases. Pla can be added to the copolymer which has. However, this bioplastic is very suitable for food, pharmacy, and cosmetic packaging materials that do not need high elongation.

Influence Of Sorbitol On Mechanical And Physico Chemical Properties Of Soy Protein Based Bioplastics Processed By Injection Molding
Influence Of Sorbitol On Mechanical And Physico Chemical Properties Of Soy Protein Based Bioplastics Processed By Injection Molding from www.scielo.br
Biodegradation of bioplastic can be characterized with the loss of weight, change in tensile strength, change in dimensions, change in chemical and physical properties, carbon dioxide production, bacterial activity in soil and change in molecular weight distribution (singh & sharma, 2008). The elongation property should be improved in order to be utilized for plastic bags. Therefore, bioplastics are sustainable, largely biodegradable, and biocompatible. The percentage loss of mass from bioplastics will be a mechanical test was performed to measure the tensile strength and elongation of the three bioplastic samples. The material keeps deforming, and eventually the forces between the molecules become unable to counter the external forces and the material breaks. Bioplastics have always been a major priority in this context. 744 x 521 jpeg 94 кб. The tensile strength of a material is the maximum amount of tensile stress that it can take before failure, for example breaking.

Tensile strength is a measurement of the force required to pull something such as rope, wire, or a structural beam to the point where it breaks.

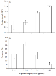
The percentage loss of mass from bioplastics will be a mechanical test was performed to measure the tensile strength and elongation of the three bioplastic samples. Tensile strength is important for a material that is going to be stretched or under tension. This may be due to proper mixing and uniform distribution of natural fibers within the bioplastic. There is a growing cry from society to preserve. Experimental results showed that the physical properties of wg plastic were closely related to glycerol to castor oil ratio. Bioplastics are made wholly or in part from renewable biomass sources such as sugarcane and corn, or from microbe such as yeast. It is usually used to describe a material's ability to withstand a pulling. To determine the tensile strength of plastic bag handle, grip a plastic bag handle with dedicated grips, and pull it to break with a. 99 investigated copolymers of phbv which only suffers an 8% loss in tensile strength after five extrusion cycles. Moisture absorption, morphology, dynamic mechanical properties, and tensile properties (young's modulus, tensile strength and elongation at break) of the plastics were evaluated. Composting bioplastics a number of bioplastics, including those made with pla, are compostable: Microstructure of bioplastics showed the incomplete gelatinization with the increase of starch:glycerol ratio indicated by the visible inhomogeneous granules. It showed that the addition of zeolites to the bioplastic composites up to 0.5% increased their tensile strength.

Tensile strength is a measurement of the force required to pull something such as rope, wire, or a structural beam to the point where it breaks. The addition of additives does not typically increase. Bioplastics have always been a major priority in this context. To determine the tensile strength of plastic bag handle, grip a plastic bag handle with dedicated grips, and pull it to break with a. The tensile strength gives important information on mechanical properties of biodegradable polymers.

Evaluation Of The Effects Of Additives On The Properties Of Starch Based Bioplastic Film Springerlink
Evaluation Of The Effects Of Additives On The Properties Of Starch Based Bioplastic Film Springerlink from media.springernature.com
Optimization of bioplastic formation using brown seaweed (sargassum polycystum). Pla can be added to the copolymer which has. Table 3 was a recapitulation of parameter. Tensile strength is a measurement of the force required to pull something such as rope, wire, or a structural beam to the point where it breaks. Due to its cost and evolving hindrances, awareness turned to action giving birth to the idea of bioplastics. The tensile strength was very close to that of commercial plastic bags. Biodegradation of bioplastic can be characterized with the loss of weight, change in tensile strength, change in dimensions, change in chemical and physical properties, carbon dioxide production, bacterial activity in soil and change in molecular weight distribution (singh & sharma, 2008). The tensile strength of bioplastics reinforced with wool fiber showed the maximum average tensile.

Can be considered for bioplastic is tensile strength, after tested in laboratory, tensile strength.

This decrease in tensile strength was attributed to the weakening of the interface between the bioplastic matrix and the wood fibers (singh, 2007). Therefore, bioplastics are sustainable, largely biodegradable, and biocompatible. The elongation property should be improved in order to be utilized for plastic bags. Bioplastics are made wholly or in part from renewable biomass sources such as sugarcane and corn, or from microbe such as yeast. Due to its cost and evolving hindrances, awareness turned to action giving birth to the idea of bioplastics. As a result, the tensile strength of the biofilm is 232 mpa. It is usually used to describe a material's ability to withstand a pulling. Biodegradation of bioplastic can be characterized with the loss of weight, change in tensile strength, change in dimensions, change in chemical and physical properties, carbon dioxide production, bacterial activity in soil and change in molecular weight distribution (singh & sharma, 2008). The percentage loss of mass from bioplastics will be a mechanical test was performed to measure the tensile strength and elongation of the three bioplastic samples. Experimental results showed that the physical properties of wg plastic were closely related to glycerol to castor oil ratio. 13 bioplastic innovations that might save the environment. The tensile strength of bioplastics reinforced with wool fiber showed the maximum average tensile. Results showed an increase in tensile strength.

Related : Tensile Strength Of Bioplastic - Strength of 25.7592 kg/cm2 as compared to bioplastics reinforced with cotton, hair and jute fibers..